Track In-App Purchase Sales
Details
Description
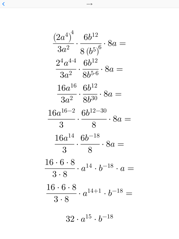
With this app you can learn the Laws of Exponents and solve expressions. For each exercise on expressions a COMPLETE SOLUTION to get the result it is also provided. This app generates exercises based on random numbers, therefore ALWAYS DIFFERENT !!!... Read More
With this app you can learn the Laws of Exponents and solve expressions.
For each exercise on expressions a COMPLETE SOLUTION to get the result it is also provided.
This app generates exercises based on random numbers, therefore ALWAYS DIFFERENT !!!
In levels 2, 3, 4, and 5 is possible, using the "refresh" button (top right), to repeat the same exercise with different numbers. This way you can learn the technique for a particular type of calculation.
• Level 0: here you learn the Laws of Exponents from left to right
(e.g. x ^ a * x ^ b = x ^ (a + b))
• Level 1: In this level you can exercise the Laws of Exponents from right to left
(e.g. x ^ (a-b) = x ^ a / x ^ b)
• Level 2: Here we start with simple expressions to be solved using the rules learned in previous levels
• Level 3: the expressions of this level become more difficult
• Level 4: (in-app purchase) even more difficult expressions where roots appear
• Level 5: (in-app purchase) very difficult expressions that require a perfect mastery of the topic and more steps to end the calculation.
In mathematics the powers are one of the basic techniques that are a must to continue the studies.
Without mastery of the powers it is impossible to continue with the study of algebra and mathematical analysis. This app prepares you for your future as student !!! :-) Collapse

